Фонд 6146 / Опис 1 / Справа 009
Цифровий архів
◦ Фонди радянського періоду та незалежної України
◦ ◦ Фонд № 6146 “Колекція свідчень очевидців Голодомору 1932-1933 рр., нині проживаючих у Миколаївській області”
◦ ◦ ◦ Опис № 1 справ постійного зберігання за 2009-2010 роки
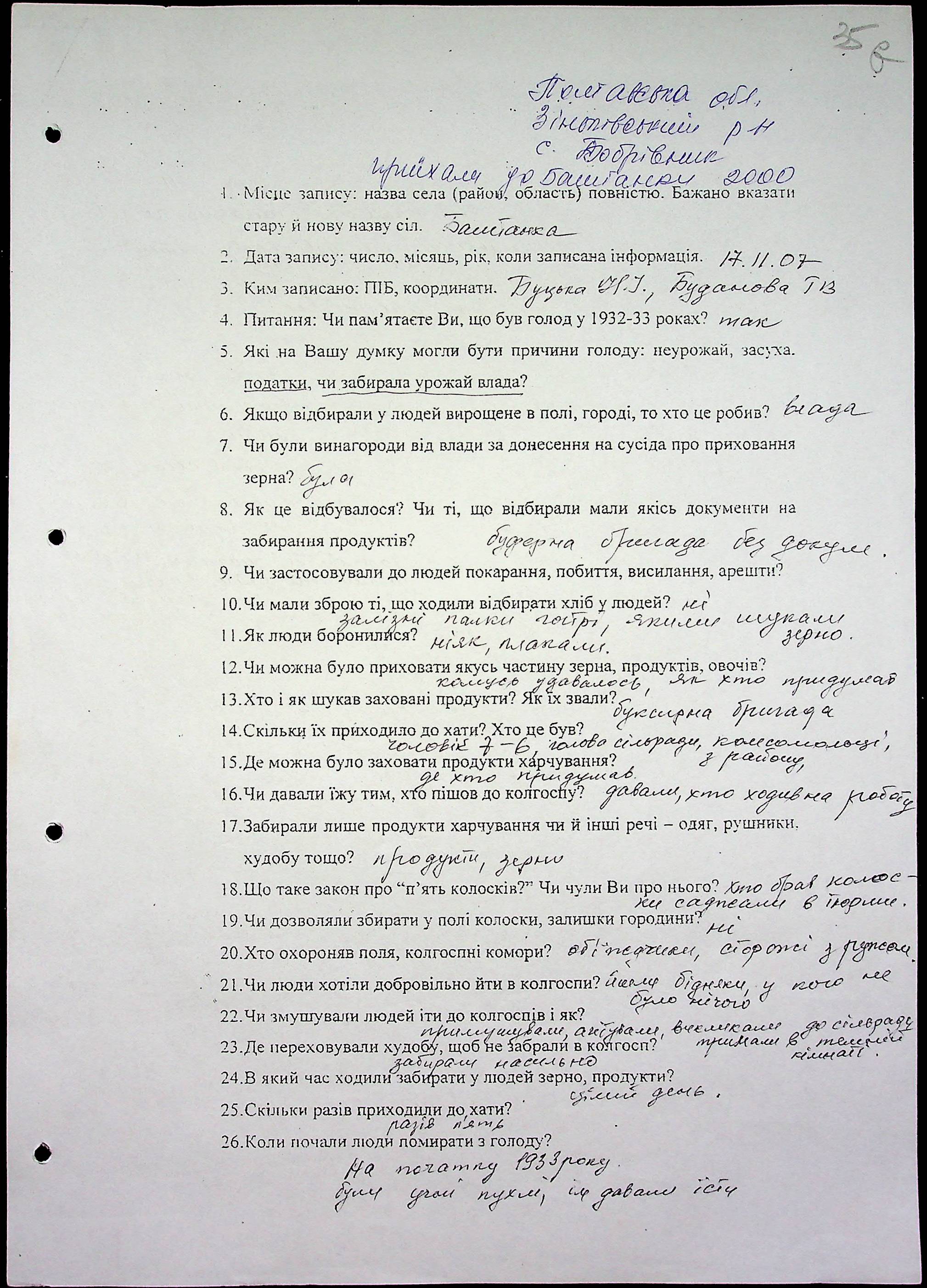
• • • • Справа № 9 “Свідчення очевидців Голодомору 1932-1933 років, які проживають у Баштанському районі, з прізвищами на літери К–О”